Composición:Baraclude 0.5: Cada comprimido contiene: Entecavir 0.5 mg. Baraclude 1: Cada comprimido contiene: Entecavir 1 mg. Excipientes: Lactosa Monohidrato, Celulosa Microcristalina Crospovidona, Povidona, Estearato de Magnesio, Opadry Blanco YS-1-18027-A (Dióxido de Titanio, Hipromelosa, Polietilenglicol 400, Polisorbato 80), Opadry Rosado, 03B14899 (Dióxido de Titanio, Hipromelosa, Polietilenglicol 400, Oxido de Hierro Rojo).
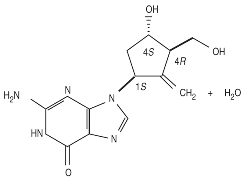
Descripción: Baraclude es el nombre comercial de entecavir, un nucleósido análogo de guanosina con actividad selectiva contra el VHB. El nombre químico para entecavir es monohidrato de 2-amino-1,9-dihidro-9-{(1S, 3R, 4S)-4-hidroxi-3-(hidroximetil)-2-metilenciclopentil}-6H-purin-6-ona. Su fórmula molecular es C12H15N5O3·H2O, la cual corresponde a un peso molecular de 295.3. Entecavir tiene la siguiente fórmula estructural:
Acción Terapéutica: Análogo nucleósido inhibidor de la transcriptasa reversa activo frente al virus de la hepatitis B.
Indicaciones: Baraclude está indicado para el tratamiento de la infección crónica por hepatitis B en adultos con evidencia de replicación viral activa o con evidencia de elevaciones persistentes en las amino-transferasas séricas (ALT o AST) o enfermedad histológicamente activa. Esta indicación se basa en las respuestas histológicas, virológicas, bioquímicas y serológicas en sujetos adultos sin tratamiento previo con nucleósidos y resistentes a lamivudina con infección crónica por VHB HBeAg positivo o HBeAg negativo y enfermedad hepática compensada. Están disponibles datos virológicos, bioquímicos y serológicos de un estudio controlado en sujetos adultos con infección crónica por VHB y enfermedad hepática descompensada [ver Efectos Colaterales]. Están disponibles datos virológicos, bioquímicos y serológicos para un número limitado de sujetos adultos con coinfección por VIH/VHB que recibieron previamente tratamiento con lamivudina [véanse Advertencias y Precauciones].
Posología: Baraclude debe ser administrado con el estómago vacío (al menos 2 horas antes y 2 horas después de comer). Dosis recomendada:Enfermedad hepática compensada: La dosis recomendada de Baraclude para infección crónica por virus de hepatitis B en adultos y adolescentes mayores de 16 años sin tratamiento previo con nucleósidos es de 0.5 mg 1 vez al día. La dosis recomendada de Baraclude en adultos y adolescentes de por lo menos 16 años de edad con historia de viremia por hepatitis B mientras reciben lamivudina o con mutaciones conocidas de resistencia a lamivudina o telbivudina en la posición rtM204I/V con o sin las posiciones rtL180M, rtL80I/V o rtV173L es de 1 mg 1 vez al día. Enfermedad hepática descompensada: La dosis recomendada de Baraclude para infección crónica por virus de hepatitis B en adultos con enfermedad hepática descompensada es de 1 mg 1 vez al día. Deterioro renal: En sujetos con deterioro renal, el aclaramiento oral aparente de entecavir disminuyó cuando disminuyó el aclaramiento de creatinina. Se recomienda ajustar la dosis para pacientes con aclaramiento de creatinina <50 ml/min, incluyendo pacientes en hemodiálisis o diálisis peritoneal ambulatoria continua (DPAC), como se muestra en la Tabla 1. Se prefieren los regímenes de dosis única diaria.
Deterioro hepático: No es necesario ajustar la dosis para pacientes con deterioro hepático. Duración del tratamiento: La duración óptima del tratamiento con Baraclude para pacientes con infección crónica causada por el virus de la hepatitis B y la relación entre tratamiento y resultados a largo plazo como cirrosis y carcinoma hepatocelular son aún desconocidas.
Efectos Colaterales:Las siguientes reacciones adversas se analizan con mayor detalle en otras secciones del prospecto: Exacerbaciones de la hepatitis después de discontinuar el tratamiento [ver Advertencias]. Acidosis láctica y hepatomegalia severa con esteatosis [véase Advertencias]. Las siguientes reacciones adversas han sido reportadas durante la etapa posterior a la comercialización de Baraclude. Debido a que estas reacciones fueron reportadas voluntariamente a partir de una población de tamaño desconocido, no siempre es posible estimar en forma confiable su frecuencia o establecer una relación causal con la exposición a Baraclude. Trastornos del sistema inmunológico: Reacción anafiláctica. Trastornos metabólicos y nutricionales: Se han informado casos de acidosis láctica, con frecuencia relacionados con una descompensación hepática, otras afecciones médicas graves o exposiciones a fármacos. Es posible que los pacientes con enfermedad hepática descompensada tengan un mayor riesgo de tener acidosis láctica. Trastornos hepatobiliares: Aumento de las transaminasas. Trastornos en la piel y el tejido subcutáneo: Alopecia, erupción.
Contraindicaciones: Baraclude está contraindicado en pacientes con hipersensibilidad previamente demostrada a entecavir o a cualquier componente del producto.
Advertencias:Exacerbaciones agudas severas de la hepatitis B: Exacerbaciones agudas severas de la hepatitis B han sido reportadas en pacientes que han discontinuado el tratamiento antihepatitis B, incluyendo entecavir [ver Efectos colaterales]. La función hepática debe ser estrechamente monitorizada con seguimiento clínico y de laboratorio al menos por unos meses después de discontinuar el tratamiento antihepatitis B. Si es apropiado, la reanudación del tratamiento antihepatitis B puede ser garantizada. Pacientes coinfectados con VIH y VHB: Baraclude no ha sido evaluado en pacientes coinfectados con VIH/VHB que no estaban tratados simultáneamente con un tratamiento efectivo frente al VIH. La experiencia clínica limitada sugiere que existe una posibilidad para el desarrollo de la resistencia del VIH a los nucleósidos inhibidores de la transcriptasa reversa si Baraclude es utilizado para tratar la infección crónica por el virus de la hepatitis B en pacientes con infección por el VIH que no están siendo tratados. Por lo tanto, el tratamiento con Baraclude no está recomendado en los pacientes coinfectados por VIH/VHB que no estén recibiendo al mismo tiempo una terapia antirretroviral altamente activa (HAART). Antes de iniciar el tratamiento con Baraclude, se ofrecerá, a todos los pacientes, realizar el análisis de anticuerpos frente al VIH. Baraclude no ha sido estudiado como tratamiento de la infección por VIH y no está recomendado para este uso. Acidosis láctica y hepatomegalia severa con esteatosis: Acidosis láctica y hepatomegalia severa con esteatosis, incluyendo casos fatales, han sido reportadas con el uso de análogos nucleósidos solos o en combinación con antirretrovirales. La mayoría de estos casos se han reportado en mujeres. La obesidad y la prolongada exposición a los nucleósidos pueden ser factores de riesgo. Se debe tener especial precaución cuando se administren análogos de nucleósidos a pacientes con factores conocidos de riesgo para enfermedad hepática; sin embargo, también se han reportado casos en pacientes sin factores de riesgo conocidos. El tratamiento con Baraclude debe suspenderse en cualquier paciente que desarrolle problemas clínicos o de laboratorio que sugieran acidosis láctica o hepatotoxicidad pronunciada (que puede incluir hepatomegalia y esteatosis incluso en ausencia de una marcada elevación de las transaminasas).
Precauciones:Embarazo: Embarazo categoría C: No hay estudios adecuados y bien controlados de Baraclude en mujeres embarazadas. Cuando se administró entecavir a ratas y conejos gestantes a exposiciones 28 y 212 veces la exposición humana a la máxima dosis humana, no hubo signos de toxicidad embriofetal. Debido a que los estudios de reproducción en animales no son siempre predictivos de la respuesta en humanos, Baraclude debe ser usado durante el embarazo sólo si es evidentemente necesario y después de cuidadosas consideraciones de los riesgos y beneficios. Se realizaron estudios de desarrollo de toxicidad en ratas y conejos. No hubo signos de toxicidad embriofetal o materna cuando se les administró a las ratas y los conejos gestantes dosis orales de entecavir a exposiciones de aproximadamente 28 (rata) y 212 (conejo) veces la exposición humana alcanzada con la máxima dosis humana recomendada de 1 mg/día. En ratas, se observó toxicidad materna, toxicidad embriofetal (resorciones), menor peso fetal, malformaciones de cola y vértebras, osificación reducida (vértebras, esternebras y falanges) y vértebras lumbares y costillas adicionales se observaron a exposiciones 3100 veces superiores a la exposición humana. En conejos se observó toxicidad embriofetal (resorciones), osificación reducida (hioide) y una creciente incidencia de la 13a. costilla con exposiciones 883 veces superiores a la humana. En un estudio perinatal y postnatal, no se evidenciaron efectos adversos en la descendencia cuando se administró entecavir oralmente a ratas a exposiciones 94 veces mayores que la humana. Trabajo de parto y parto: No hay estudios en mujeres embarazadas, como tampoco hay datos sobre el efecto de Baraclude en la transmisión del VHB de la madre al infante. Por tanto, se deben adoptar las medidas necesarias para prevenir el contagio neonatal con VHB. Madres lactantes: No se conoce si Baraclude es excretado en la leche materna; sin embargo, entecavir es excretado en la leche de ratas. Debido a que muchos fármacos se excretan en la leche materna y debido al potencial de reacciones adversas graves en los lactantes por Baraclude, se debe adoptar una decisión de suspender la lactancia o suspender Baraclude tomando en consideración la importancia de la continuación del tratamiento contra la hepatitis B en la madre y los beneficios conocidos de la lactancia materna. Uso pediátrico: No se han establecido la seguridad ni la efectividad de entecavir en pacientes pediátricos menores de 16 años de edad. Uso geriátrico: Los estudios clínicos de Baraclude no incluyeron números suficientes de sujetos de 65 años o más como para determinar si responden de forma diferente a los sujetos más jóvenes. Entecavir es sustancialmente excretado por el riñón, y el riesgo de reacciones tóxicas a este fármaco puede ser mayor en pacientes con deterioro de la función renal. Debido a que los pacientes geriátricos están más predispuestos a tener la función renal disminuida, se debe tener cuidado al seleccionar la dosis, y sería útil monitorear la función renal (ver Posología). Grupos raciales/étnicos: No hay diferencias raciales significativas en cuanto a la farmacocinética del entecavir. La seguridad y la eficacia de Baraclude 0.5 mg 1 vez por día fueron evaluadas en un ensayo abierto de rama única de sujetos HBeAg-positivos o -negativos, sin tratamiento previo con nucleósidos, de raza negra/afroamericana (n=40) e hispana (n=6), que padecían infección crónica por el VHB. En este ensayo, el 76% de los sujetos era de sexo masculino, el promedio de edad era 42 años, el 57% era HBeAg-positivo, el nivel medio basal de ADN del VHB era 7.0 log10 UI/ml, y el nivel medio basal de ALT era 162 U/L. En la Semana 48 de tratamiento, 32 de 46 sujetos (70%) tenían un nivel de ADN del VHB <50 UI/mL (aproximadamente 300 copias/ml), 31 de 46 sujetos (67%) presentaban una normalización de ALT (≤1 x LSN), y 12 de 26 sujetos (46%) HBeAg-positivos presentaban seroconversión de HBe. Los datos de seguridad fueron similares a los observados en los ensayos clínicos controlados más grandes. Debido al bajo enrolamiento, no se han establecido la seguridad y la eficacia en la población hispana de EE.UU. Deterioro renal: Se recomienda ajustar la dosis de Baraclude en pacientes con un aclaramiento de creatinina inferior a 50 ml/min, incluyendo pacientes en hemodiálisis o DPAC (ver Posología). Receptores de trasplante hepático: La seguridad y la eficacia de Baraclude fueron evaluadas en un ensayo abierto de rama única realizado en 65 sujetos que recibieron un trasplante hepático por complicaciones relacionadas con su infección crónica por el VHB. Los sujetos elegibles cuyo nivel de ADN del VHB era menor a 172 UI/ml (aproximadamente 1000 copias/ml) al momento del trasplante fueron tratados con Baraclude 1 mg 1 vez por día además del tratamiento post-trasplante habitual, que incluyó inmunoglobulina antihepatitis B. La población de ensayo fue 82% masculina, 39% caucásica y 37% asiática, con una edad promedio de 49 años; el 89% de los sujetos presentaba enfermedad HBeAg-negativa al momento del trasplante. Cuatro de los 65 sujetos recibieron 4 semanas o menos de Baraclude (2 muertes, 1 retrasplante y 1 violación del protocolo) y no se consideraron evaluables. De los 61 sujetos que recibieron más de 4 semanas de Baraclude, 60 recibieron inmunoglobulina antihepatitis B post-trasplante. Cincuenta y tres sujetos (82% de los 65 sujetos tratados) completaron el ensayo y tuvieron mediciones de ADN del VHB a las 72 semanas de tratamiento post-trasplante o con posterioridad. Todos los 53 sujetos tuvieron un nivel de ADN del VHB <50 UI/ml (aproximadamente 300 copias/ml). Ocho sujetos evaluables no tuvieron datos de ADN del VHB disponibles a las 72 semanas, incluidos 3 sujetos que murieron antes de completar el estudio. Ningún sujeto tuvo valores de ADN del VHB ? 50 UI/ml mientras recibía Baraclude (más inmunoglobulina antihepatitis B). Todos los 61 sujetos evaluables perdieron HBsAg post-trasplante; 2 de estos sujetos experimentaron recurrencia de HBsAg medible sin recurrencia de la viremia por VHB. Este ensayo no fue diseñado para determinar si la adición de Baraclude a la inmunoglobulina antihepatitis B disminuye la proporción de sujetos con ADN del VHB medible post-trasplante en comparación con la inmunoglobulina antihepatitis B sola. Si se determina como necesario el tratamiento con Baraclude para un receptor de trasplante hepático que ha recibido o que está recibiendo inmunosupresores que puedan afectar la función renal, tales como ciclosporina o tacrolimus, la función renal debe ser cuidadosamente monitorizada antes y durante el tratamiento con Baraclude (ver Posología).
Interacciones Medicamentosas: Como el entecavir es principalmente eliminado por los riñones, la coadministración de Baraclude con fármacos que reducen la función renal o que compiten por la secreción tubular activa puede aumentar las concentraciones séricas tanto de entecavir como del fármaco coadministrado. La coadministración de entecavir con lamivudina, adefovir dipivoxil o tenofovir disoproxil fumarato no resultó en interacciones significativas de fármacos. Los efectos de la coadministración de Baraclude con otros fármacos que se eliminan por vía renal o que se conoce que afectan la función renal no han sido evaluados y los pacientes deben ser monitorizados de cerca por eventos adversos cuando Baraclude es coadministrado con tales fármacos.
Sobredosificación: Hay poca experiencia sobre casos reportados de sobredosis de entecavir en pacientes. Sujetos saludables que recibieron una dosis única de entecavir de hasta 40 mg o dosis múltiples de hasta 20 mg/día durante un máximo de 14 días no presentaron incremento en eventos adversos ni eventos adversos inesperados. En caso de sobredosis, el paciente debe ser monitoreado para detectar evidencias de toxicidad y se le debe aplicar un tratamiento estándar de soporte si es necesario. Después de una dosis única de 1 mg de entecavir, una sesión de 4 horas de hemodiálisis removió aproximadamente el 13% de la dosis de entecavir.
Conservación: Baraclude comprimidos recubiertos debe almacenarse en frasco bien cerrado a una temperatura inferior a 30º C. Conservar dentro de la caja para proteger de la luz.
Presentaciones:Baraclude 0.5: Envase conteniendo 30 comprimidos recubiertos. Baraclude 1: Envase conteniendo 30 comprimidos recubiertos.
Para mayor información comunicarse al Departamento de Información Médica: Fono: 123-0-020-5542; e-mail: informacion.medicasa@bms.com